Δήμητρα Ευθυμιάδου
Τα ποσοστά του clawback.
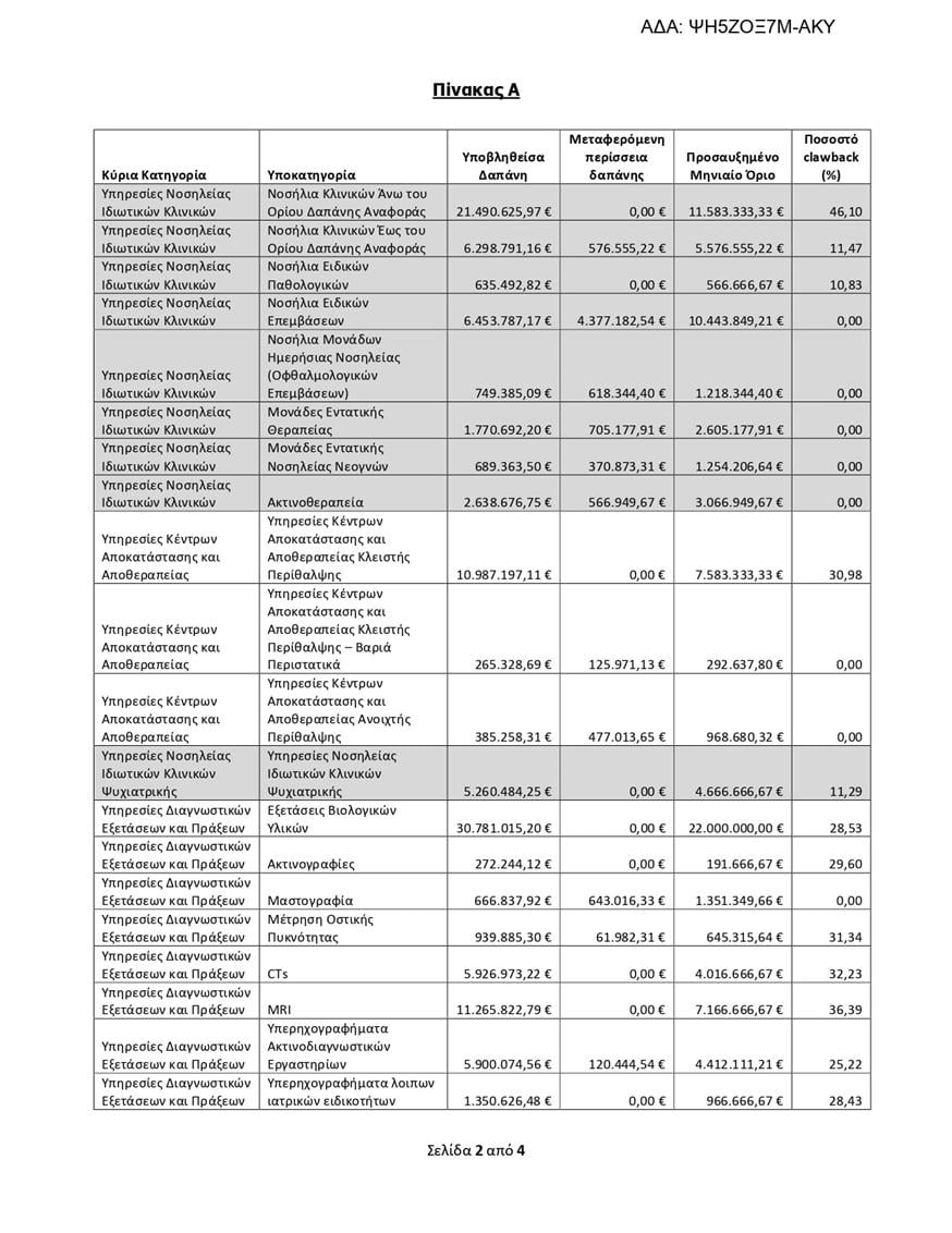
Σε υψηλά επίπεδα κινούνται τα «κουρέματα» από τον ΕΟΠΥΥ και για τον μήνα Οκτώβριο, αφού οι ιδιώτες πάροχοι καλούνται να καταβάλουν υποχρεωτικές επιστροφές που ξεπερνούν και το 44%.
Το γνωστό clawback που αποτελεί έναν αυτόματο μηχανισμό επιστροφής με την υπέρβαση της προϋπολογισθείσας δαπάνης, δεν αφορά μόνο στα φάρμακα αλλά και στις ιδιωτικές κλινικές και τις νοσηλείες, τις διαγνωστικές εξετάσεις αλλά και κάθε λογής αναλώσιμα που χορηγούνται στους ασφαλισμένους του ΕΟΠΥΥ.
Ειδικότερα τα ποσοστά των υποχρεωτικών επιστροφών κινούνται για άλλη μια φορά σε υψηλά επίπεδα, αφού για τις υπηρεσίες νοσηλείας σε ιδιωτικές κλινικές αγγίζει και το 46,10%.
Τα επίσημα στοιχεία
Με βάση τα επίσημα στοιχεία του ΕΟΠΥΥ, αντίστοιχα υψηλά κινούνται οι υποχρεωτικές επιστροφές και για τις υπηρεσίες των κέντρων αποκατάστασης και αποθεραπείας με το ποσοστό να διαμορφώνεται στο 30,98%.
Σε ό,τι αφορά στις διαγνωστικές εξετάσεις, τα βιολογικά υλικά κινούνται στο 28,53%, οι ακτινογραφίες στο 29,6%, ενώ σε υψηλά επίπεδα βρίσκονται οι μετρήσεις οστικής πυκνότητας με clawback 31,34%, οι αξονικές με 32,23% και οι μαγνητικές τομογραφίες με 36,39%.
Από τα κουρέματα δεν γλιτώνουν όμως ούτε και οι φυσικοθεραπείες αφού το clawback για τον μήνα Οκτώβριο έφτασε το 33,17%.
Παράλληλα και τα αναλώσιμα υπόκεινται στον ίδιο οικονομικό περιορισμό, αφού όσες εταιρείες διαθέτουν αναπνευστικές συσκευές, οξυγόνα και άλλα ανάλογα αναλώσιμα θα καταβάλλουν υποχρεωτικά το 39,89% των κερδών τους στον ΕΟΠΥΥ. Και τα ορθοπεδικά κινούνται επίσης σε υψηλά επίπεδα και ξεπερνούν το 44%.
Πίνακες














